logo nu Map
网站首页公司简介产品展示企业动态产品报价技术文章在线留言联系我们
江苏恒大仪表有限公司
导航菜单
流量计系列
· 智能电磁流量计
· 插入式电磁流量计
· 分体式电磁流量计
· 卫生型电磁流量计
· 阿牛巴流量计
· V锥流量计
· 涡街流量计
· 旋进旋涡流量计
· 孔板流量计
· 涡轮流量计
· 转子流量计
· 椭圆齿轮流量计
· 平衡流量计
· 弯管流量计
· 楔形流量计
· 靶式流量计
· 节流装置
· 热式气体质量流量计
· 一体化孔板流量计
· 超声波流量计
· 气体涡轮流量计
· 金属管浮子流量计
· 温压补偿涡街流量计
· 一体化威力巴流量计
· 蒸汽流量计
· 阀门组
温度仪表系列
· 热电阻
· 热电偶
· 温度变送器
· 双金属温度计
压力仪表系列
· 压力变送器
· 差压变送器
· 压力真空表
· 精密压力表
· 膜盒压力表
· 隔膜压力表
· 耐震压力表
· 不锈钢压力表
· 电接点压力表
校验仪表系列
· 校验仿真仪
· 多功能校验仪
· 精密数字压力计
· 全自动校验装置
· 智能压力校验仪
· 手(电,自)动气压源
· 手(电,自)动液压源
液位仪表系列
· 密度计
· 液位变送器
· 锅炉液位计
· 磁翻板液位计
· 超声波液位计
显示,记录仪表系列
· 智能巡检仪
· 智能调节仪
· 无(有)纸记录仪
· 安全栅、隔离器
料位开关/料位计
· 料位计
· 料位开关
mulu
搜索 请输入关键字
联系我们
江苏恒大仪表有限公司
    址:江苏省金湖工业园区
    编:211600
    话:0517-86500336      
                        86500226
    真:0517-86800636
联系人:杨经      
手机13915187193(微信同号)
E-mail:jshdyb@163.com
 
技术文章

涡轮流量计理论及分析


发布日期:2022-11-15 点击:2414次
  轴向涡轮流量计理论分析主要有两种模型:一是根据一元流动模型,运用动量守恒定理对叶轮受力过程进行分析,可以比较直观地描述涡轮流量计的工作过程,一元流动模型常用于对影响因素的定性分析,需要配合实验数据求得它们之间的关系;二是根据二元流动模型,从流体力学基础理论出发,运用二元边界层理论和叶栅理论提出涡轮流量计粘性摩擦阻力矩和驱动力矩的理论模型,同时应用缝隙流动理论提出计算涡轮流量计轴承阻力矩的计算公式。本文主要采用第一种模型进行分析。a
  涡轮流量计最理相的工作状态是涡轮流量计仪表系数k为常数,即仪表系数k不随被测流体流量ρ的变化而变化。实际上涡轮流量计的工作状态并非是理相的工作状态,而是kρ成一定的函数关系,如式(2-4)所示,即:
 
 
   作用在涡轮流量计叶轮上的力矩大致可分为以下几种:被测流体通过涡轮流量计叶轮时对叶片产生的推动力矩Tr,叶轮轴与轴承之间由于摩擦而产生的机械阻力矩Trm,被测流体通过涡轮流量计叶轮时对叶轮产生的流动阻力矩Trf ,电磁转换器对涡轮流量计叶轮产生的电磁阻力矩Tre。根据牛顿运动定律,可以推算出涡轮流量计叶轮的运动方程,如式(2-5)所示,即:
   式中J为叶轮的转动惯量;为叶轮的旋转角速度。一般情况下,电磁阻力矩Tre 比较小,它对涡轮流量计的影响可以忽略。在正常工作条件下,可认为管道内被测流体流量是不变的,即涡轮流量计叶轮的旋转角速度是恒定的,即:
 
 
  将式(2-6)代入式(2-5),可得到涡轮流量计叶轮在稳定条件下时的动力学方程,如式(2-7)所示,即:
 
 
   在这三个力矩中,机械摩擦力矩Trm 在一定条件下可以被认为是常数;流体阻力矩rfT 只和被测流体的流动状态有关。因此在理论模型中首先要确定主动力矩Tr 的具体关系式,可以不用给出TrmTrf的具体关系式。涡轮流量计叶轮转动力矩示意图如图 2-2 所示。
 
 
 
  假定:经过涡轮流量计整流器的轴向被测流体速度为u1,被测流体离开涡轮流量计叶轮叶片时的绝对速度为u2,被测流体速度方向与叶轮圆周方向夹角为u1,被测流体离开叶轮时与圆周方向夹角为u2,叶轮叶片与轴线的夹角为θ。根据动量守恒原理,周向作用力f r的表达式如式(2-8)所示,即:
 
 
 式中ρ为被测流体的密度;ρv为被测流体体积流量。
  在式(2-8), ρ,ρv,u1,α1均为已知量,而u2,α2为未知量。为了得到u2,α2的表达式,要对涡轮流量计叶轮叶片作速度分析:
(1)对于叶轮叶片,它的进出口圆周速度是相同的。假设叶轮叶片进出口圆周运动线速度为Ur1Ur2,则:
  
 
(2)当被测流体离开叶轮叶片时,被测流体的相对速度与圆周运动方向的夹角就等于叶片结构角θ。假设被测流体对于进出口叶轮叶片的相对速度为w1w2,则w2与圆周运动方向夹角β2与叶片结构角θ之间有以下关系: 
   
 
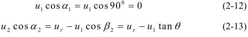
(3)根据不可压缩流体的连读性原理可以断定:叶片出口绝对速度u2的轴向分量等于叶片进口绝对速度u1的轴向分量,而来流一般总是假定为轴向的,α1 =90°。叶片出口绝对速度u2的轴向分量应等于u1
 
 
 根据分析,可以得出叶轮叶片速度分析图,如图2-3所示。
 
由图 2-3 可以得出速度的转化关系,如式(2-12)和式(2-13)所示,即:
 
 
 对轴流式叶轮,被测流体推动力fr是作用在叶片的平均半径r上,所以,叶片的圆周运动速度ur也以平均半径计算,即:
 
 
 将式(2-12)、式(2-14)代入式(2-8),可得被测流体推动力fr的表达式: 
   
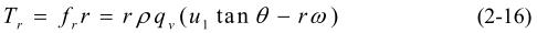
 由此可得推动力矩Tr为:
 
 
 将上式(2-16)代入式(2-7),其中u1=qv/A (其中,A 是流通截面面积),根据以上整理后可得: 
 
 
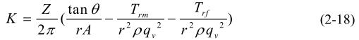
 由于k=f/qvw=2πf/Z,其中Z为涡轮叶片数,将其代入(2-17),得仪表系数表达式:
 
 
(2-18)即为涡轮流量计的数学模型,能够定性地描述涡轮流量计的基本特性。
 
相关新闻:
电磁流量计衬里磨损检测技术要点
涡轮流量计对液体清洁度的技术要求
液体涡轮流量计轴承润滑方式及应用要点
孔板流量计流量计算公式及应用说明
电磁流量计衬里更换技术规程
涡街流量计漩涡频率与流速的换算原理及公式
孔板流量计的取压方式有哪些?
超声波流量计的探头如何安装?
电磁流量计的绝缘电阻如何测量?
孔板流量计的安装直管段长度要求是多少?
江苏恒大仪表有限公司  版权所有     地址:江苏省金湖工业园区   邮编:211600
           电话:0517-86500226   86500336 传真:0517-86800636   手机:13915187193    联系人:杨经理
E-mailjshdyb@163.com   GoogleSitemap   baidusitemap 网址:http://www.yb1518.com