网站首页
公司简介
产品展示
企业动态
产品报价
技术文章
在线留言
联系我们
流量计系列
·
智能电磁流量计
·
插入式电磁流量计
·
分体式电磁流量计
·
卫生型电磁流量计
·
阿牛巴流量计
·
V锥流量计
·
涡街流量计
·
旋进旋涡流量计
·
孔板流量计
·
涡轮流量计
·
转子流量计
·
椭圆齿轮流量计
·
平衡流量计
·
弯管流量计
·
楔形流量计
·
靶式流量计
·
节流装置
·
热式气体质量流量计
·
一体化孔板流量计
·
超声波流量计
·
气体涡轮流量计
·
金属管浮子流量计
·
温压补偿涡街流量计
·
一体化威力巴流量计
·
蒸汽流量计
·
阀门组
温度仪表系列
·
热电阻
·
热电偶
·
温度变送器
·
双金属温度计
压力仪表系列
·
压力变送器
·
差压变送器
·
压力真空表
·
精密压力表
·
膜盒压力表
·
隔膜压力表
·
耐震压力表
·
不锈钢压力表
·
电接点压力表
校验仪表系列
·
校验仿真仪
·
多功能校验仪
·
精密数字压力计
·
全自动校验装置
·
智能压力校验仪
·
手(电,自)动气压源
·
手(电,自)动液压源
液位仪表系列
·
密度计
·
液位变送器
·
锅炉液位计
·
磁翻板液位计
·
超声波液位计
显示,记录仪表系列
·
智能巡检仪
·
智能调节仪
·
无(有)纸记录仪
·
安全栅、隔离器
料位开关/料位计
·
料位计
·
料位开关
请输入关键字
联系我们
江苏恒大仪表有限公司
地
址:江苏省金湖工业园区
邮
编:
211600
电
话:
0517-86500336
86500226
传
真:
0517-86800636
联系人:杨经
理
手机
:
13915187193
(微信同号)
http://www.yb1518.com
E-mail:
jshdyb@163.com
技术文章
首页
>>
技术文章
孔板流量计流量计算公式及应用说明
发布日期:2026-03-09 点击:742次
孔板流量计
基于节流原理测量液体流量,通过检测孔板前后的差压信号,结合介质与管道参数,通过标准化公式计算得出实际流量,其核心公式严格遵循
ISO 5167
及
GB/T 2624
标准,是工业计量中最常用的流量计算方法,公式推导与应用要点如下。
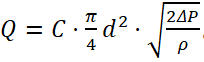
孔板流量计液体流量的核心计算公式为:
。其中,
Q
为体积流量(单位:
m³/h
),是计算的核心目标;
C
为流出系数,与孔板开孔率
β
(
β=d/D
,
d
为孔板开孔直径,
D
为管道内径)、管道粗糙度及雷诺数相关,需通过标准表格查询或厂家标定获取;
ε
为膨胀系数,液体因不可压缩性,通常取
1
,无需额外修正。
公式中关键参数需精准确定:
d
为孔板实测开孔直径(
mm
),
D
为管道实测内径(严禁用标称值,避免误差);
ΔP
为孔板前后实测差压(
kPa
),由差压变送器检测获取;
ρ
为工况温度压力下的介质密度(
kg/m³
),需根据实际工况参数修正,避免因温度变化导致密度偏差,影响计算精度。
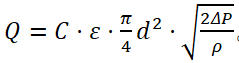
实际应用中,可对公式进行简化,因液体
ε=1
,简化为
。计算时需先确定流出系数
C
,通常
β
在
0.3~0.7
(最佳测量区间)时,
C
值稳定在
0.6~0.7
之间,可结合实际
β
值查询标准手册。
需注意,公式适用于单相、稳定湍流流体,若介质含颗粒、易结垢,需修正
C
值;计算后需验证最小流量对应的差压是否满足变送器测量范围,确保流量在最佳测量区间内。正确应用该公式,结合精准的参数测量,可使
孔板流量计
测量误差控制在
±1%
以内,满足工业过程监控与计量需求。
相关新闻:
电磁流量计衬里磨损检测技术要点
涡轮流量计对液体清洁度的技术要求
液体涡轮流量计轴承润滑方式及应用要点
孔板流量计流量计算公式及应用说明
电磁流量计衬里更换技术规程
涡街流量计漩涡频率与流速的换算原理及公式
孔板流量计的取压方式有哪些?
超声波流量计的探头如何安装?
电磁流量计的绝缘电阻如何测量?
孔板流量计的安装直管段长度要求是多少?
江苏恒大仪表有限公司
版权所有
地址:江苏省金湖工业园区
邮编:
211600
ICP备案号:
苏ICP备10202569号-1
电话:
0517-86500226 86500336
传真:
0517-86800636
手机:
13915187193
联系人:杨经理
E-mail
:
jshdyb
@163.com
GoogleSitemap
baidusitemap
网址:
http://www.yb1518.com
主营产品:
流量计
,
孔板流量计
,
电磁流量计
,
V锥流量计
,
磁翻板液位计