 |
请输入关键字 |
|
|
| 联系我们 |
江苏恒大仪表有限公司
地 址:江苏省金湖工业园区
邮 编:211600
电 话:0517-86500336
86500226
传 真:0517-86800636
联系人:杨经理
手机:13915187193(微信同号)
E-mail:jshdyb@163.com
|
|
|
涡街流量计的标定误差来源分析 |
|
| 发布日期:2021-06-17 点击:2373次 |
涡街流量计本质上是一种速度式流量计,其直接测量的量为介质的流速,考虑到由于体积流量仅以介质流速及截面积确定,不受其他因素影响,因此,一般以体积流量进行示值误差或仪表系数的计算依据。
在使用文丘里喷嘴气体流量标准装置对流量计进行标定时,根据连续性原理,达到临界条件后,只要分别测得被检流量计、喷嘴两处的气体温度、静压、湿度,则可通过密度关系计算被检表处流量标准值,即标准装置示值,再读取流量计示值即可计算示值误差。但如上文所示的流量计一般无法直接测量其内部气体状态参数,而只能在仪表上、下游的管道上进行开孔测量作近似估值,通过此方式所测流量标准值实际为测量孔截面处气体流量。考虑到在实验室条件下,气体的温度、湿度基本恒定,而在不同的位置测量的静压值则有较大差异,因此,测压位置的选取对体积流量标准值的计算准确性起重要影响。根据JJG1029-2007《涡街流量计检定规程》,一般于仪表下游段2至7倍内径距离的范围内都可认为是合理的测压位置,所测静压与仪表内部实际值近似视作相等,但当被检仪表为上文所述E+H流量计时,由于其表体管道内径稍大于标准装置管道,则仪表与直管段间连接处将出现突变转折截面,如图4所示,当气体流经转折面时,将产生一定压力损失,此时下游段测压处所测得气体静压理论上比仪表内部实际值小,导致计算所得标准体积流量比仪表处实际值大,且流量越大该过程的压能损失越多,下游测压计算所得标准值越偏离真值,这种误差可认为是实验方法引起的系统误差[6]。

4.1机械能损失分析
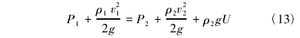
因流量计传感器组成部分前后均有一定长度表体直管段且与标准装置管道间内径差异较小,流场扰动基本被仪表本身抗干扰能力克服,可认为流量计计量性能不受影响,则只需考虑气体静压测量值的准确性。从能量损失角度分析:如图5所示,由于流线不能转折,流体在流经突然收缩断面时,将形成流股收缩,至c-c断面后逐渐扩散,在此过程中,流体先有加速的收缩流后减速的扩散流两者都产生阻力[7]。为简化分析此过程中的能量损失,设流体为不可压缩流体,设c-c断面处的理想平均流速为v0,根据伯努利方程:

式中,α1为动能修正系数,无量纲;v1为断面1-1处流体平均流速,m/s;P1为断面1-1处流体静压,N/m2;α0为动能修正系数,无量纲;v0为断面c-c处流体理想平均流速,m/s;PC为断面c-c处流体静压,N/m2;ρ为流体密度,kg/m3;g为重力加速度,N/kg或m/s2。
实际上从1-1断面至c-c断面间存在一定能量损失,假设为U1,再者c-c断面的实际平均流速νC要比v0稍小一些,它们的比值νC/v0=Cν,称为流速系数,一般约为0.99~0.97[7],基于本文所讨论情况,该断面收缩较小,取Cν=0.99计算,且在紊流状态下α1=α0=1,即:
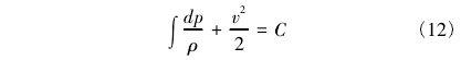
由于在标定实验中,流体介质一般为空气,而空气是一种可压缩流体,考虑到在重力场中,可压缩性流体的势能与压力能、动能比较起来是小得可以忽略不计的[7-8],即伯努利方程可简化为以下形式:
其中C为常数,且气体在流量计内(断面1-1处)流至测压处(断面2-2)的过程中可近似地看作等熵过程,因此,有P1/ρk1=P2/ρk2,ρ1=P1/P2()1/kρ2,对于空气的等熵指数k≈1.4,由于在此过程中单位质量流体的能量损失U很小,为简化分析直接用ρ2计算其机械能损失,则方程可写为:
式中,P1为涡街流量计内(断面1-1处)空气静压,N/m2;ρ1为流量计内(断面1-1处)空气密度,kg/m3;v1为流量计内(断面1-1处)空气平均流速,m/s;P2为测压点(断面2-2处)空气静压,N/m2;ρ2为测压点(断面2-2处)空气密度,kg/m3;v2为流量计内(断面2-2处)空气平均流速,m/s。
由于在标定实验中,空气的质量流量Qm可通过文丘里喷嘴测量换算得到,设断面1-1处、断面2-2处管道面积为S1、S2,则空气在两处的流速分别为:
式中,Qm为空气的质量流量,kg/s;S1为断面1-1管道截面积,m2;S2为断面2-2管道截面积,m2。
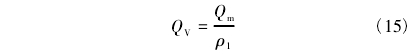
经过变换得到一个一元方程,仅有ρ1为未知量,各项参数均能在实验中直接测量或换算所得,通过使用软件工具如MATLAB、Excel或其他方式解出ρ1,则P1=P2ρk1/ρk2,流量计内体积流量的理论值QV为:
式中,QV为空气的体积流量,m3/s。 |
 |
相关新闻: |
 |
|
|