logo nu Map
网站首页公司简介产品展示企业动态产品报价技术文章在线留言联系我们
江苏恒大仪表有限公司
导航菜单
流量计系列
· 智能电磁流量计
· 插入式电磁流量计
· 分体式电磁流量计
· 卫生型电磁流量计
· 阿牛巴流量计
· V锥流量计
· 涡街流量计
· 旋进旋涡流量计
· 孔板流量计
· 涡轮流量计
· 转子流量计
· 椭圆齿轮流量计
· 平衡流量计
· 弯管流量计
· 楔形流量计
· 靶式流量计
· 节流装置
· 热式气体质量流量计
· 一体化孔板流量计
· 超声波流量计
· 气体涡轮流量计
· 金属管浮子流量计
· 温压补偿涡街流量计
· 一体化威力巴流量计
· 蒸汽流量计
· 阀门组
温度仪表系列
· 热电阻
· 热电偶
· 温度变送器
· 双金属温度计
压力仪表系列
· 压力变送器
· 差压变送器
· 压力真空表
· 精密压力表
· 膜盒压力表
· 隔膜压力表
· 耐震压力表
· 不锈钢压力表
· 电接点压力表
校验仪表系列
· 校验仿真仪
· 多功能校验仪
· 精密数字压力计
· 全自动校验装置
· 智能压力校验仪
· 手(电,自)动气压源
· 手(电,自)动液压源
液位仪表系列
· 密度计
· 液位变送器
· 锅炉液位计
· 磁翻板液位计
· 超声波液位计
显示,记录仪表系列
· 智能巡检仪
· 智能调节仪
· 无(有)纸记录仪
· 安全栅、隔离器
料位开关/料位计
· 料位计
· 料位开关
mulu
搜索 请输入关键字
联系我们
江苏恒大仪表有限公司
    址:江苏省金湖工业园区
    编:211600
    话:0517-86500336      
                        86500226
    真:0517-86800636
联系人:杨经      
手机13915187193(微信同号)
E-mail:jshdyb@163.com
 
技术文章

孔板流量计计算理论及模型


发布日期:2021-01-19 点击:4928次
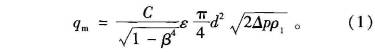
1.孔板流量计计算经验公式
根据满管流体流量的测量是通过测量安装在管道内孔板产生的前后压差,并经算术计算后求得,流体质量流量的计算公式如下:
式中:C为孔板的流出系数(无量纲);β为孔板直径和管道内径比值(无量纲);d为孔板工作状态下直径(mm);△p为孔板前后的差压(Pa);ρl为流体密度(kg/m3)。
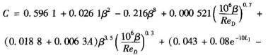
流出系数是指通过装置的实际流量与理论流量之间关系的系数,用Reader-Harris/Gallagher方法的计算公式为
式中:p1为上游断面相对压力(Pa);Pz为下游断面.相对压力(Pa);K为流体的等熵指数(无量纲)。其余符号与上同。
本次计算的流体为水,温度70℃,可压缩性比较小,因此选取ε=1.0,进行流量的近似计算,孔板的具体参数表见表1。
2.CFX数值计算
本文采用了Navier-Stoke方程来描述流体在管道内的流动,应用标准双方程案流模型,采用有限容积法和迎风差分格式对控制方程进行时变相离散求解,给定壁面粗糙度,假设壁面无滑移,流体无旋运.动s。基于CFD计算理论,应用ANSYS平台中CFX商用软件,进行定常迭代求解计算。
3.数值计算模型

  本文对某电厂凝结水管道进行了数值模拟计算,孔板流量计前后阻力件的形式为90°弯头各一个,具体数据见表1。图1、图2分别为管道计算模型和孔板管局部网格示意图。
孔板差压流量计结构图示
  为了便于建模和计算,对孔板内边缘进.行了简化,取消斜锐角α,将孔板设计为最小厚度的等厚孔板。由于受计算资源的限制,模型的网格个数为769728,节点个数为748492。整个计算模型采用六面体结构化网格,以提高网格质量和计算精度。
4.数值计算边界条件
以某电厂凝结水流量孔板尺寸为例,采用公式(1)计算其额定压力下的流量,并对孔板及管道进行数值模拟。进口设定流量,凝结水杂项管设置孔板后,进出口流量相等,出口设定流量。分别计算3个工况:工况1为最大流量工况610kg/s;工况2为常用流量工况569.44kg/s;工况3为最小流量工况222.22kg/so
5.结果分析
为了使结果具有普遍性,并减小后处理误差,
孔板流量计前后的压差分别取上下游断面上的平均压力之差。孔板前后各做一个和管道正交的圆截面,近似认为是上下游取压口,上游断面定义为Planel即上游取压口断面,下游断面定义为Plane2即为下游取压口断面,如图3。上、下游断面距孔板中心位置分别用x1和x2表示,上下游各取10个截面位置,截面位置编号自孔板至上下游分别编号为1至10,其数据见表2。
孔板差压流量计上下游断面示意图
相关新闻:
电磁流量计衬里磨损检测技术要点
涡轮流量计对液体清洁度的技术要求
液体涡轮流量计轴承润滑方式及应用要点
孔板流量计流量计算公式及应用说明
电磁流量计衬里更换技术规程
涡街流量计漩涡频率与流速的换算原理及公式
孔板流量计的取压方式有哪些?
超声波流量计的探头如何安装?
电磁流量计的绝缘电阻如何测量?
孔板流量计的安装直管段长度要求是多少?
江苏恒大仪表有限公司  版权所有     地址:江苏省金湖工业园区   邮编:211600 ICP备案号:苏ICP备10202569号-1
           电话:0517-86500226   86500336 传真:0517-86800636   手机:13915187193    联系人:杨经理
E-mailjshdyb@163.com   GoogleSitemap   baidusitemap 网址:http://www.yb1518.com